摘要 : 11 土壤健康评价需要对表征土壤生态系统服务的各项指标和功能进行评估。
土壤健康评价需要对表征土壤生态系统服务土壤钻机的各项指标和功能进行评估。通常采用土壤质量指标(SQI)进行土壤质量评价,但由于这些土壤质量指标均针对特定的土壤功能进行,导致不同指标之间无法进行绝对值的比较。本文提出了一种土壤质量指标面积法,该方法基于雷达图的面积进行,将土壤化学属性、生物属性和物理属性的面积进行综合比较。该方法区别于之前的土壤质量指标评价方法,可快速简单比较土壤各项参数和土壤整体的变化。本文同时提出了对退化土壤的抵抗力和敏感性的测定方法,建议采用SOC降低的程度方法进行测定。基于废弃农田黑土和黑钙土恢复过程,对SQI面积和抵抗力/敏感性方法进行了检验。SQI面积以及抵抗力/敏感性方法可应用于基础和应用研究、决策者评估土地利用和测量土壤退化程度具有。
本文提出采用土壤质量指数(SQI)-面积方法和抗性-敏感性方法,以详细评估土壤健康状况,并能克服传统SQI的缺陷。
与土壤健康相比,土壤肥力的评估相对简单,并且是基于农作物的生产力。但是,这种土壤肥力观点也只会关注一种功能,即作物生产力,因而忽略了整体范围内的其他功能:多功能性。为克服这一局限性,人们提出了各种评估土壤退化,质量和健康状况的方法。这些方法大多数基于具有或不具有加权因子的少量化学,物理和生物土壤特性的组合,被称为土壤质量指数(SQI)。在这种SQI指数计算中,除了考虑(部分主观)选择的土壤特性之外,有两个主要缺点限制了它们的应用:(1)不同研究之间各种SQI的比较非常困难,并且由于应用了多种土壤参数和加权因子,因此在某种程度上是不可能的;(2)各个参数对土壤退化的敏感性取决于退化的方向(化学,物理和生物),特定的退化因素(例如过度施肥,高机械负荷和化学污染)和退化类型(例如压实,骨料破坏,酸化和侵蚀)。因此,个体的化学、物理和生物特性成为在最终的SQI分数中的各种权重。
在这里,我们建议,应用两种方法来克服这些SQI缺点。第一种方法,即SQI面积方法,是基于雷达图上面积的比较方法,该图是由所有影响SQI的土壤参数(物理,化学和生物学)所产生的。第二种方法,是抗性-敏感性方法,它反映了各个土壤参数对土壤退化的敏感性,是一种比较特定情况下的土壤健康评价方法。
1. 计算SQI面积用以比较不同方法
SQI面积方法是基于对由单个土壤参数组产生的雷达图内部面积的比较,这些参数对SQI有加权(在大多数情况下没有加权或线性加权)。对于未退化的土壤(大多数情况下是自然祖先或类似土壤),每个土壤参数均应标准化为1.0。

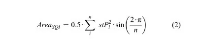
其中,stPi是标准参数i,Pdeg和Pnatare分别为退化土壤和自然(未退化)土壤中的参数值。这种标准化确保了由任意数量的参数组成的任何SQI的比较。根据标准化参数,可以为未退化的(天然)土壤(所有值均为最大值,图1)和退化的土壤建立雷达图。两种土壤覆盖面积的比较(例如比率)反映了总的降解强度。相应的面积(AreaSQI)将等于构成整个图形的各个三角形的总和:

其中,n是用于SQI的参数数,π为3.14。
尽管总面积在一定程度上取决于SQI计算中土壤钻机涉及的参数数量,但退化土壤和非退化土壤之间的面积比是独立的。退化土壤中所有三角形面积的总和与自然或未扰动土壤所有参数所覆盖的面积之比将反映总体退化强度(图1)。

图1:土壤质量指数面积法(SQI-area)适用于统一评估任何数量的土壤参数并比较各种SQI方法。必须减少雷达图中未退化土壤和退化土壤之间的面积。未降解土壤和退化土壤的SQI面积之比与面积计算中涉及的参数数量和权重无关。化学土壤参数用蓝色表示,物理参数用红色表示,生物参数用绿色表示。SOC,土壤有机碳含量;TN,总氮含量;Avail P,有效磷;CEC,阳离子交换能力;WHC,持水能力;密度,土壤容重;MaAgg,宏观集合体;Depth,Ah/Ap + B层的深度;CO2,二氧化碳外排;MBC,微生物生物量碳含量;Nemat,线虫;和EarthW,蚯蚓。在此示例中,降级SQI与未降级SQI的面积之比为0.47,这表明平均一半的性能和功能会因降级而丢失。请注意,退化土壤图上的值是任意的(非实验性)。
2. 土壤参数对土壤退化的敏感性和抗性
土壤参数对土壤退化的敏感性和抗性分别反映了各个参数随退化而改变(在大多数情况下降低)的程度(强度)。尽管定义很简单,但主要问题是要确定阈值,在该阈值处抗性会结束,而敏感性会产生。因此,必须对土壤性质进行比较。
我们建议使用SOC含量作为普遍的参考土壤特性,原因有四个:
(1)SOC对农业用途和大多数形式的土壤退化敏感。
(2)SOC含量包括了其他各种物理,化学和生物学特性。
(3)它与许多特性(营养成分和可用性,堆积密度和聚集,CEC和吸附能力,例如重金属和农药以及孔隙率)密切相关。因此,有机碳有效地是土壤的主要属性。
(4)SOC已用于大多数先前的SQI。因此,所有应该评估其灵敏度和电阻的参数都将与SOC的变化(在大多数退化情况下降低)正交(图2)。
如果特性与SOC的降低成比例地降低(图2中的标识线),则其灵敏度和电阻与SOC相同。如果更改速度快于SOC(标识线下方的虚线)的变化,则此属性很敏感;如果更改较慢(标识线上方),则与SOC相比,此属性可抵抗退化。

图2:根据与土壤有机碳含量变化的比较,土壤参数对退化或土地利用变化的敏感性和抗性的概念和评估原理(改编自Guillaume等人)。与SOC相比,土壤特性可随SOC含量的降低(标识线,1:1)成比例地降低,或者具有抗性(标识线上方,1:1)或敏感(标识线以下,1:1)。土壤特性的抗性或敏感性是依赖于SOC的损耗强度(虚线),或取决于SOC损耗强度(虚线)。土壤特性均针对未降解的参考土壤进行了标准化(1.0,请参见等式(1)),并且可能会降低至0。对于土壤特性(Y尺度),可以使用任何土壤参数(例如,参与SQI的计算)。通常情况下,(微观)生物学特性更敏感,而物理特性则更耐土壤退化。
虚线(图2)显示了各种土壤参数下降的具体情况。即使SOC大大降低或完全去除,某些抗降解参数仍会保留在土壤中。这些参数包括总磷含量,CEC,粘土含量和保水性,即主要与母体材料有关的参数。在SOC完全消失之前,其他对降解敏感的参数将达到接近于零的水平,例如微生物生物量,溶解的有机物,大多数酶的活性和基础呼吸,即主要是(微生物)生物学参数。两组参数均用虚线表示(图2),这两组参数在SOC完全消失后仍保留在土壤中,或在SOC完全消失之前达到零。相反,一些其他参数,尽管具有灵敏度或抗性,但也只有在SOC完全丢失的情况下,才达到零或下降到母岩水平(图2中的虚线)。这些参数包括总氮含量,大骨料,有机矿物级分等。但是,土壤特性的敏感性或抗性不能反映其弹性。因此,由于SOC负责广泛的土壤特性和功能,因此将任何参数与SOC的比较通过降解而降低,反映了其敏感性或抗性。
与SOC含量相比,大多数物理土壤参数通常更具抵抗力,并且大多数生物参数对土壤退化更敏感。这种抗性-敏感性方法也可以很好地用于比较各种土壤对退化的相对敏感性。SQI区域和抗性-敏感性这两种方法不仅可以很好地用于基础和应用研究问题,而且对决策者也很有吸引力,因为它们提供了简单而统一的选项来评估土地利用土壤钻机实践和措施土壤退化,进而影响土壤健康。
| 我要评论: | |
| *内 容: |
|
| 验证码: |
|
共有-条评论